

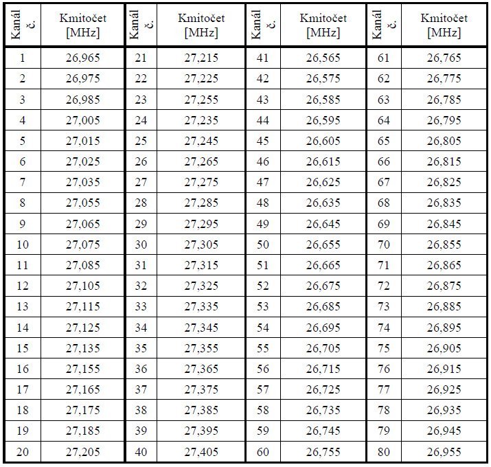
CB Rádio
26 - 27 Mhz ( AM/FM) + HAM 28 - 30 Mhz
Citizen Band, zkráceně CB (česky občanské pásmo či slangově "síbíčko") je skupina radiofonních frekvencí, které při dodržování pravidel může použít každý občan k hovoru se svou rodinou, známými, ale i neznámými lidmi. V Česku jsou pravidla jeho používání uvedena ve "Všeobecném oprávnění č. VO-R/7/11.2016-12 vydaném Českým telekomunikačním úřadem. Radiostanice, která využívá těchto frekvencí, se nazývá CB stanice.


